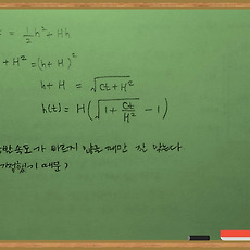
기체 확산1 셋 : Diffusion with moving interface # 복습으로 시작 이번 포스팅에서 다룰 문제는 Diffusion through a stagnant gas film의 응용버전이기 때문에 다시 한번 간단하게 복습하고 넘어갈게요. 칠판에서 볼 수 있듯이, 공기인 B는 충분히 공급되고 있고, 액체 A가 기화하여 관을 타고 이동하는 상황이었습니다. 모든 기체는 이상기체이고, B는 A에 녹지 않는다는 가정이 있었죠? 그리고 상대적으로 B는 정지해 있고, 액체와 기체의 interface가 고정되었다고 생각을 하여 A에 대해서만 mass balance와 combined molar flux 식을 써서 문제를 풀었습니다. 기억나시죠? 그렇게 해서 우리는 액체와 기체 interface에서의 증발 flux를 얻었습니다. 바로 eqn ①이죠. 혹시 기억이 안난다면 반드시 이.. 2016. 3. 13. 이전 1 다음